Standard Model Fit results: Summer 2025



CKM matrix looks like:

V_{CKM}=\left(\begin{array}{ccc} (0.97433 \pm 0.00014) & (0.22507 \pm 0.00062) & (0.003736 \pm 0.000078)e^{i(-65.5 \pm 1.1)^\circ}\\ ( -0.22492 \pm 0.00062)e^{i(0.03537 \pm 0.00074)^\circ} & (0.97347 \pm 0.00014)e^{i(-0.001888 \pm 0.000038)^\circ} & (0.04206 \pm 0.00040) \\ (0.008590 \pm 0.000090)e^{i(-22.66 \pm 0.53)^\circ} & ( -0.04117 \pm 0.00036)e^{i(1.064 \pm 0.025)^\circ} & (0.999115 \pm 0.000015)\end{array}\right)

Table of inputs, posterior values and predictions from the global fit.

Predictions are obtained by removing the given constraint from the global fit.

Parameter Input value Full fit SM Prediction Pull
\bar{\rho} - 0.160 \pm 0.009 - -
\bar{\eta} - 0.350 \pm 0.011 - -
\rho - 0.164 \pm 0.009 - -
\eta - 0.361 \pm 0.009 - -
A - 0.826 \pm 0.009 - -
\lambda - 0.2251 \pm 0.0006 - -
J_{cp}\cdot10^{5} - 3.13 \pm 0.07 - -
\sin\theta_{12} - 0.2250 \pm 0.0006 - -
\sin\theta_{23} - 0.04190 \pm 0.00038 - -
\sin\theta_{13} - 0.00374 \pm 0.00008 - -
|V_{ud}| 0.97432 \pm 0.00015 0.97435 \pm 0.00014 - 0.6
|V_{cb}| 0.04118 \pm 0.00076 0.04190 \pm 0.00038 0.04207 \pm 0.00042 1.0
|V_{ub}| 0.00382 \pm 0.00034 0.00374 \pm 0.00008 0.00374 \pm 0.00008 0.2
\gamma [^{\circ}] 65.7 \pm 2.5 65.5 \pm 1.2 65.7 \pm 1.3 0.1
\alpha [^{\circ}] 95 \pm 8 91.7 \pm 1.3 91.7 \pm 1.4 0.3
\beta [^{\circ}] - 22.7 \pm 0.6 25.0 \pm 1.2 -
\sin(2\beta) 0.700 \pm 0.015 0.712 \pm 0.013 0.768 \pm 0.029 2.0
\cos(2\beta) - 0.701 \pm 0.013 - -
2\beta+\gamma [^{\circ}] - - 111.0 \pm 1.5 -
\phi_s - - -0.0367 \pm 0.0010 -
m_{c}\mathrm{ [GeV/c^{2}]} 1.289 \pm 0.007 - - -
m_{b}\mathrm{ [GeV/c^{2}]} 4.190 \pm 0.014 - - -
m_{t}\mathrm{ [GeV/c^{2}]} 172.56 \pm 0.31 - - -
|\epsilon| 0.002228 \pm 0.000011 0.002226 \pm 0.000010 - -
\Delta m_{s} \mathrm{[ps^{-1}]} 17.766 \pm 0.006 17.765 \pm 0.005 17.26 \pm 0.58 -
\Delta m_{d} \mathrm{[ps^{-1}]} 0.5069 \pm 0.0019 - - -
B(B\rightarrow\tau\nu) \cdot 10^{4} 1.12 \pm 0.21 0.891 \pm 0.038 0.884 \pm 0.039 1.2

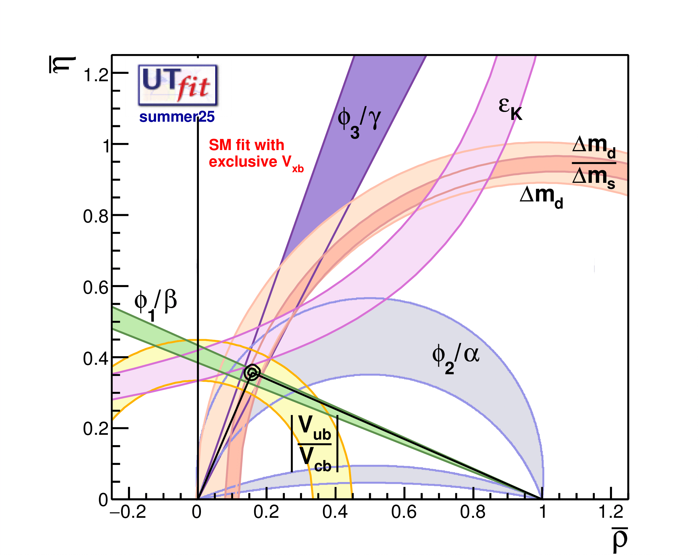
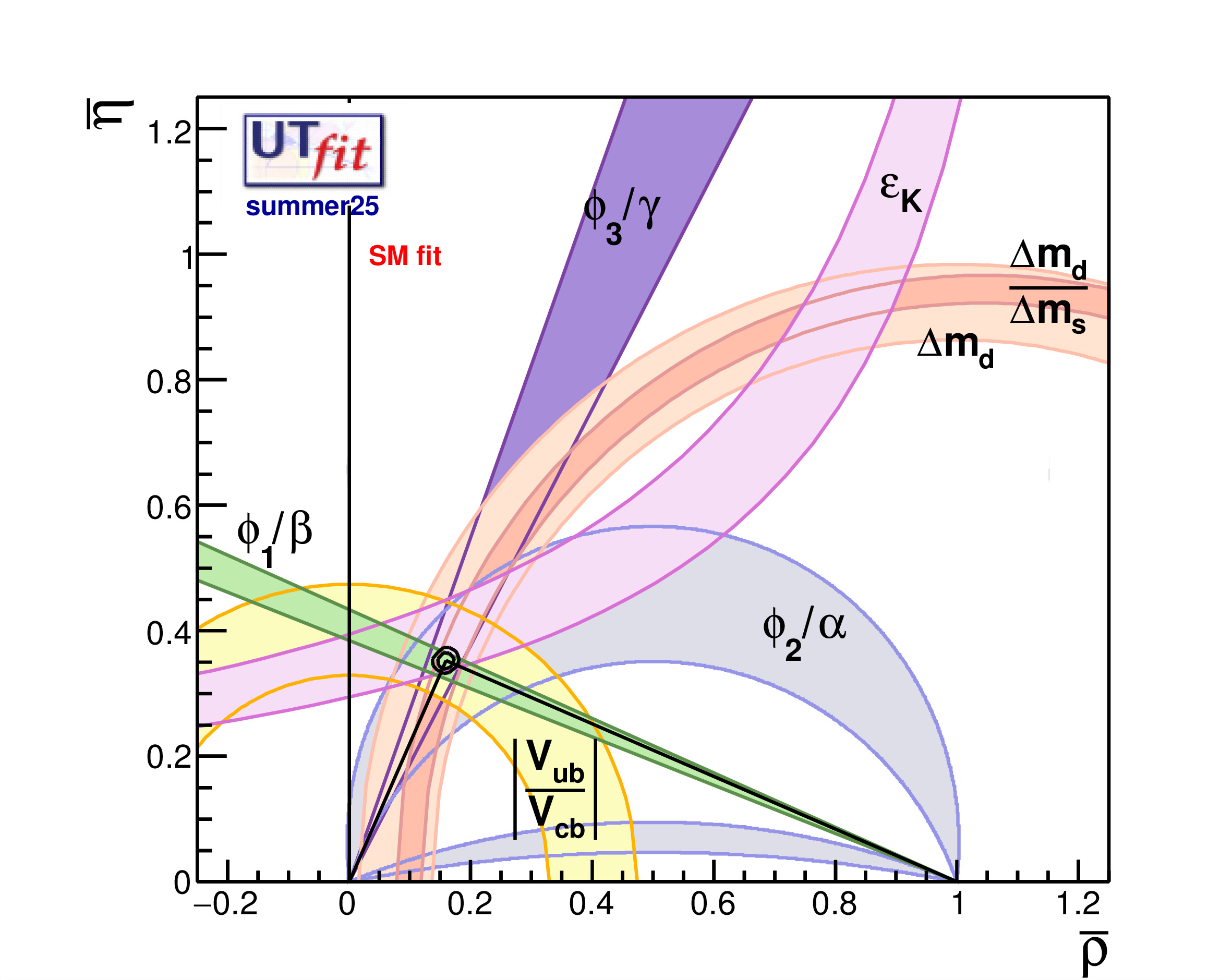
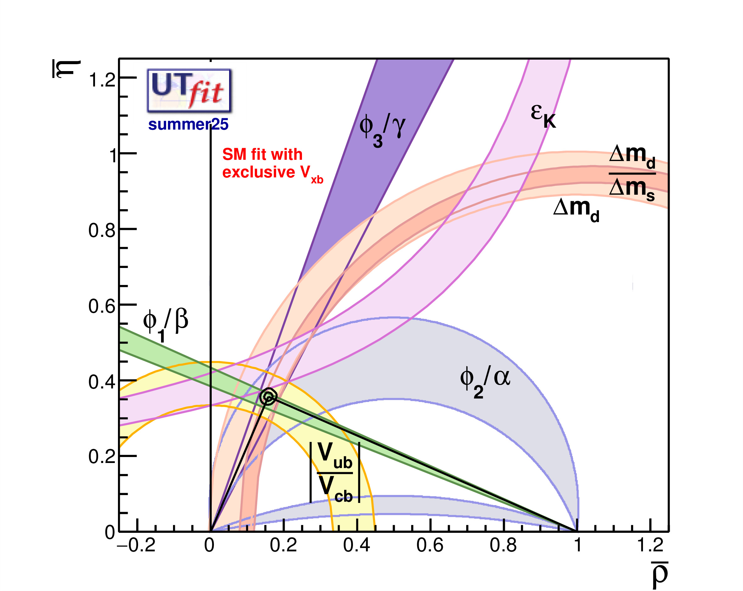
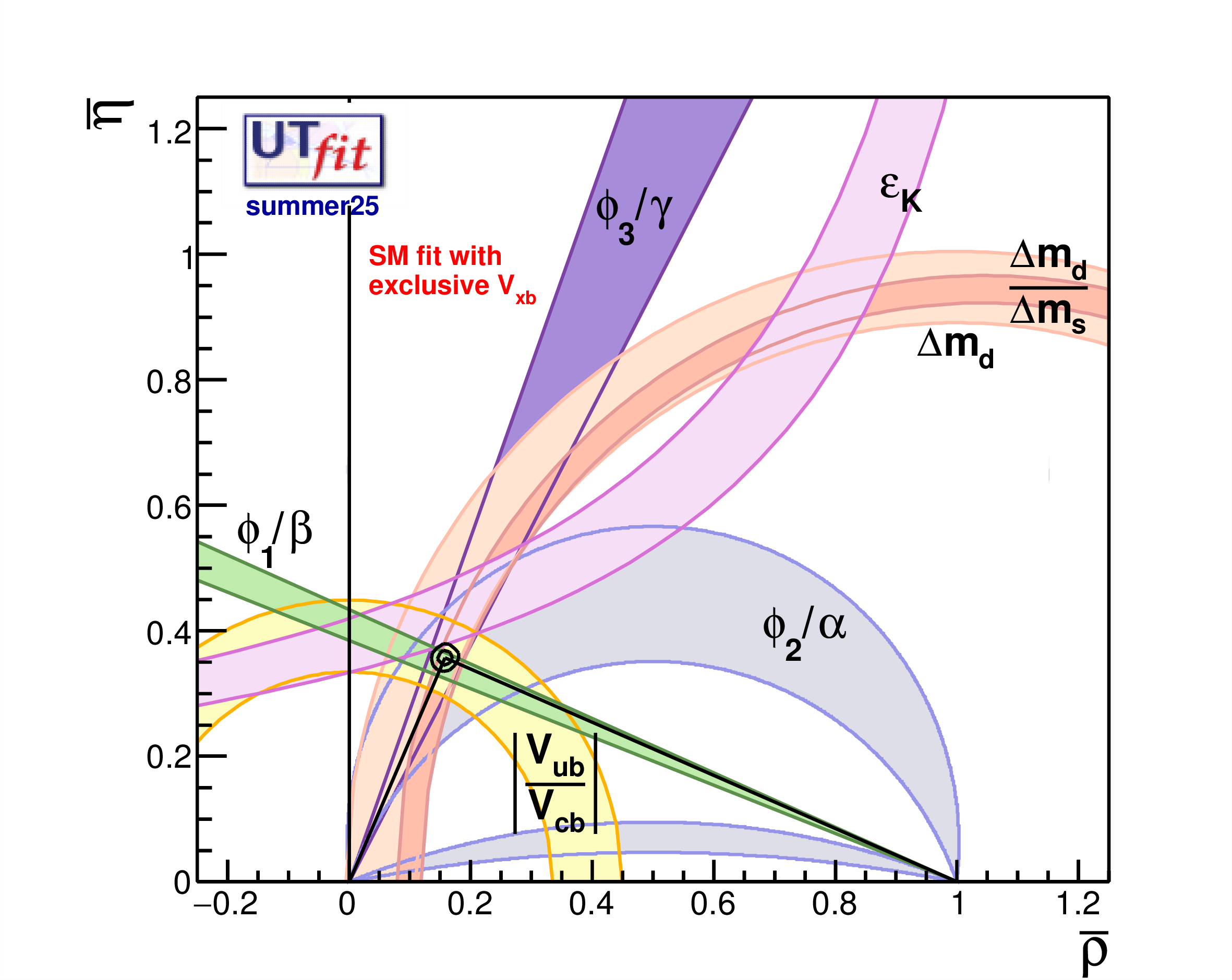
Fit Results on the \bar{\rho}-\bar{\eta} complex plane:




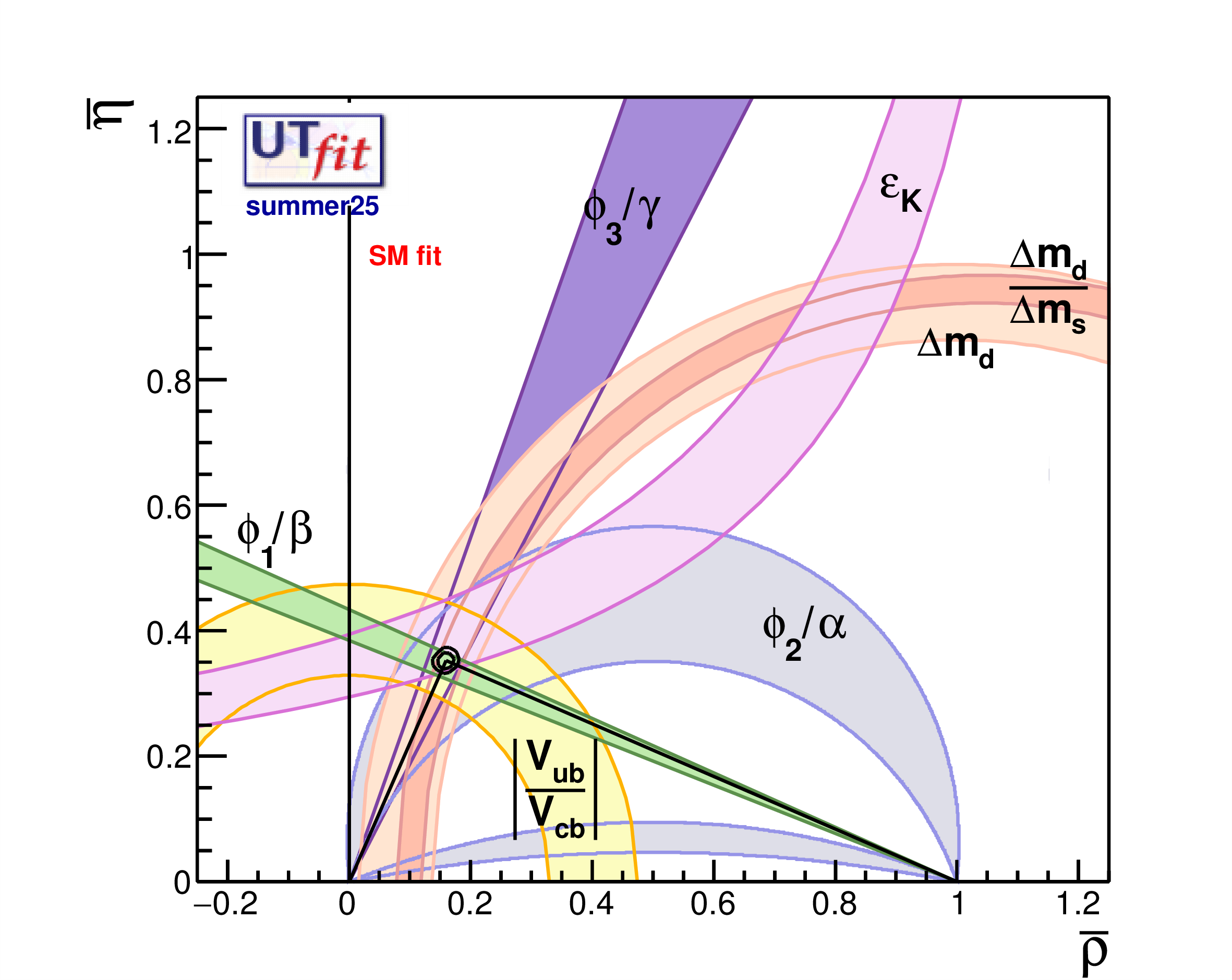
Full fit result for \,\bar{\rho} - \bar{\eta}
 
EPS - PDF - PNG - JPG - GIF



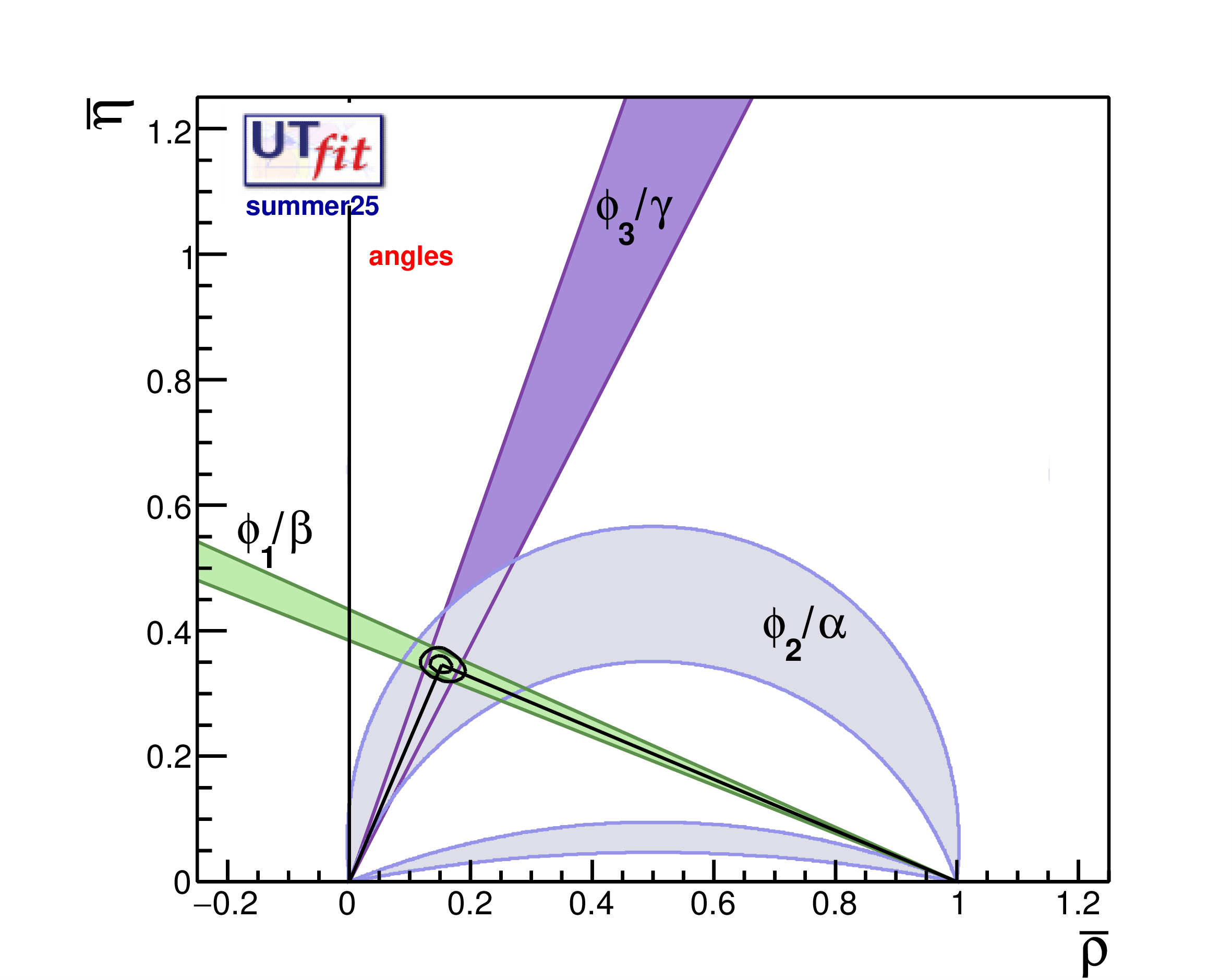
Angles-only result for \,\bar{\rho} - \bar{\eta}
 
EPS - PDF - PNG - JPG - GIF



Sides-only result for \,\bar{\rho} - \bar{\eta}
 
EPS - PDF - PNG - JPG - GIF



Tree-only result for \,\bar{\rho} - \bar{\eta}
 
EPS - PDF - PNG - JPG - GIF




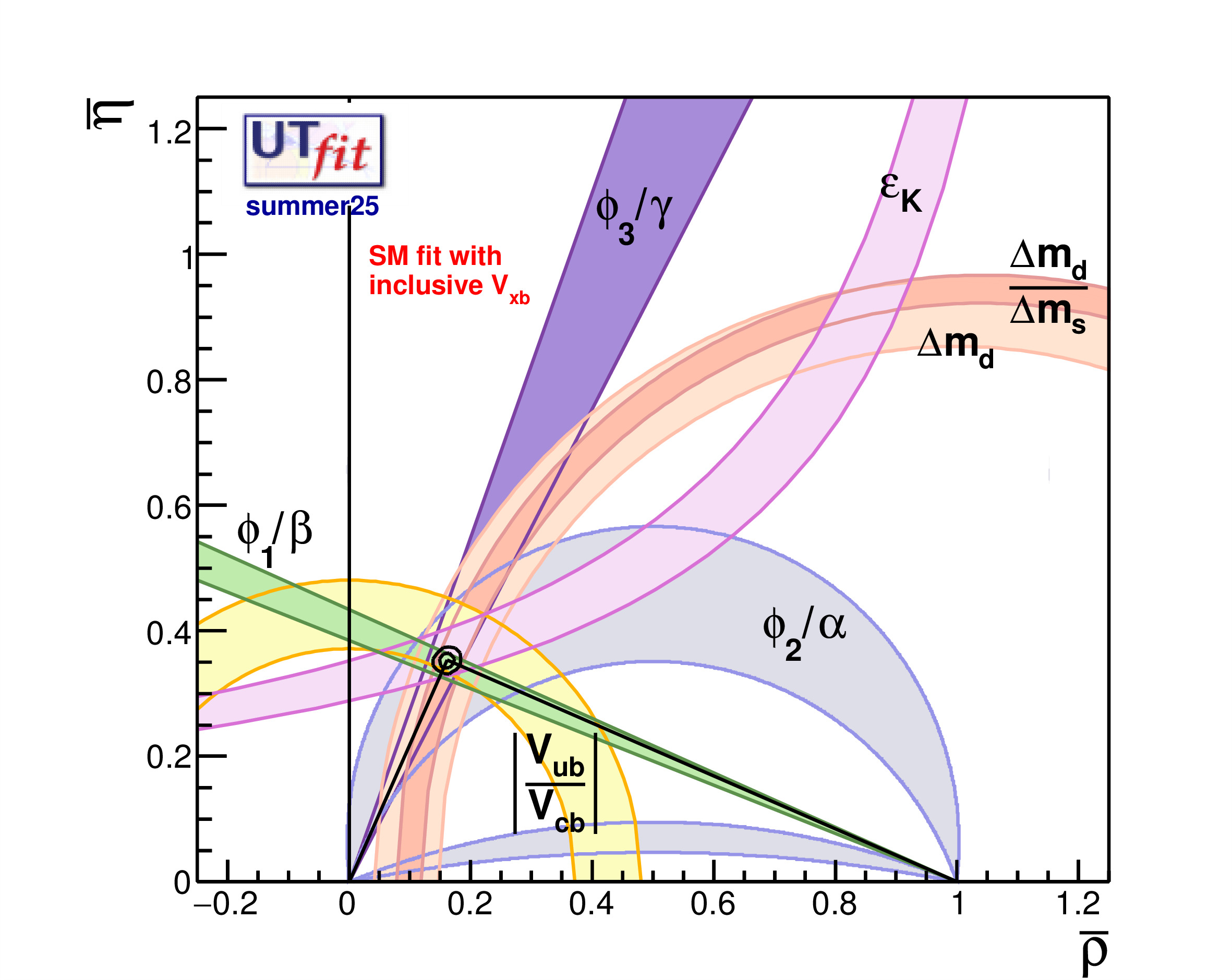
Full fit result using inclusive inputs only for \,\bar{\rho} - \bar{\eta}
 
EPS - PDF - PNG - JPG - GIF



Full fit result using exclusive inputs only for \,\bar{\rho} - \bar{\eta}
 
EPS - PDF - PNG - JPG - GIF

Selection of Probability Density plots for input values, posterior values, predictions and pulls:




Fit Input for \,|V_{cb}|-|V_{ub}|
 
EPS - PDF - PNG - JPG - GIF



Compatibility Plot for \,|V_{cb}|
 
EPS - PDF - PNG - JPG - GIF



Compatibility Plot for \,|V_{ub}|
 
EPS - PDF - PNG - JPG - GIF




Fit Input for \,sin 2\beta
 
EPS - PDF - PNG - JPG - GIF



Compatibility Plot for \,\sin 2\beta
 
EPS - PDF - PNG - JPG - GIF




Fit Input for \,\alpha [^{\circ}]
 
EPS - PDF - PNG - JPG - GIF



Fit Input for \,\gamma [^{\circ}]
 
EPS - PDF - PNG - JPG - GIF



Compatibility Plot for \,\alpha [^{\circ}]
 
EPS - PDF - PNG - JPG - GIF



Compatibility Plot for \,\gamma [^{\circ}]
 
EPS - PDF - PNG - JPG - GIF

-- MarcellaBona - 10 Jul 2025
 
  Powered by
Foswiki
Ideas, requests, problems regarding this web site? Send feedback